【历史文化】成都的堰‖徐平
成都的堰
徐 平
谈及成都的堰,让人首先想到的应该就是举世闻名的都江堰。都江堰的建成,“旱则引水浸润,雨则杜塞水门”,晋·常璩《华阳国志》中称:蜀地因此而“水旱从人,不知饥馑,时无荒年,天下谓之天府也。”两汉以来,平畴沃土、溪河纵横、物产丰饶的成都平原一直享有天府之美誉。其实,成都之所以能物阜民丰,号称天府,离不开历代修筑并密集分布于城乡各处的大小河堰。

明天启成都“府治合属郡县山水名胜图”

今之成都市辖域图
传说大禹治水的第一功绩就是治理流经成都平原的岷江。《夏书》曰:“岷山导江,东别为沱。”明天启《成都府志》载,大禹导江,“此成都水利之所由兴也。”岷江水系为成都的主要水系,岷江治理之后成都平原出现的堰堤工程,多是建在岷江的各个分流上。

成都域内主要河流分布示意图
堰,即内河上的一种人造水利工程,其作用或功能就是分水导流,《广雅》中解释为:“堰,潜堰也,潜筑土以壅水也。”通俗讲来,堰就是一种用来改变水流特性的障碍设施,被壅堵的水流可以分导至沟渠圳道。堰堤的修筑,还有利于排水泄洪的可控,以及利用流速差来沉积河中沙石。
都江堰就是一个可以有效分水导流,以及排水泄洪和治理沙石堆积的大型水利工程。都江堰,古时还有“湔堋”、“侍郎堰”、“金堤”等名称,为岷江水系中最大的堰,因此也被称为都江大堰。始建于战国秦昭襄王时期,由蜀郡太守李冰主持建造的都江堰,工程浩大,岷江通过鱼嘴、人字堤、飞沙堰等人工堰埭后被分导,从而使进入成都平原的岷江水流稳定可控。《史记·河渠书》载:“蜀守冰凿离碓,辟沫水之害,穿二江成都之中。此渠皆可行舟,有余则用溉浸,百姓飨其利。至于所过,往往引其水益用溉田畴之渠,以万亿计,然莫足数也。”

都江堰分水导流示意图
成都平原有很多建造历史久远的古堰。例如,始建于汉代的通济堰,又称蒲江大堰,《华阳国志》中有记载:“蒲江大堰灌郡下,六水门,有朱遵祠。”还有建成于唐代的縻枣堰,以及建成于明代的龙爪堰,等等。现成都各地留存下来的古堰,多为明清及以后时期所修筑。
江河縈洄,溪流如织,堰在水系发达的成都平原发挥着重要的作用。农耕时代,土地之产出及其稳定性,对该地域的经济发展,以及人居聚落的形成与规模化有着决定性的影响。而土地之产出及其稳定性,又有赖于水的溉济,特别是水田。大量出土物表明,汉代以前,成都地区就开始种植水稻。晋·郭义恭《广志》中记载有:“青芋稻,六月熟;累子稻,白汉稻,七月熟。此三稻,大而且长,米半寸,出益州。”水田依赖于堰渠引水灌溉,因此可以说,古时成都各地农乡开渠筑堰,在很大程度上就是为了保障水田之用水。

新津出土的东汉陶水田(四川省博物院 藏)
明天启《成都府志》载:“成都田土分山田、坝田、山地、坝地。山田蓄冬水,辅以塘水,一名冬水田,只能做一季种。坝田能种二季,收获后放水,另种菜籽、烟、麦之类,名曰小春,三四月引堰水灌田,不忧旱暵,故坝田之价值倍于山田也……” 坝田,也称堰田,清光绪《新津县乡土志》载:“新邑,农国也,居民多以耕种为业,堰田上上,可收两季,上季宜禾,下季宜麦。”追求田地产出最大化,为农人开地垦壤的必然选择,平川广袤、水源充足的成都,自然多有坝田。古时成都的物殷俗阜,也在于此,正如唐代西川节度从事卢求《成都记序》中所说:成都“溉水开稻田,于是沃野千里,号为陆海。”

插秧 清《耕织图诗》插图
清乾隆至嘉庆、道光时期,为成都平原大力筑堰开渠和改造田土的时期。如此大兴水利、广开水田,与清初大量移民迁至成都平原有关。落居成都各地的移民以湖广、江西、广东等地的为多,这些移民掌握着成熟、先进的水田造做和稻谷种植技术,他们的到来,促使成都各地的田地改良和水稻种植的面积迅速扩增。稻谷种植,水不可缺少,筑堰修渠以能引水溉田当为必然。清代移民在既有的堰渠体系基础上,开筑和增加了更多的堰渠,以满足更多坝田的需要。清光绪《重修彭县志》载:“西山玉村旧无稻田,乡人赵一涵于乾隆三十二年相度湔流,自复兴场观母岩下作堰,引水循山麓屈曲南流,经小鱼洞背,左纳丙寅沟泄肖沟水,东南入玉村,灌上中下三坝田四千余亩。”成都各地大量的堰名,保留着旧时移民大户或家族的姓氏,例如罗家堰、张陈堰,等等,这些堰名中就包含着移民居留落户、筑堰修渠、垦地开田的故事。

乡村水田
岷江过都江堰后,下游各支又不断设堰分流,清同治《成都县志》载:“人字堤之下,又有太平堰、三泊洞、柏桥堰、上下漏礶堰、羊子堰、徐堰河、导江堰、牛子堰等处分流,而郫灌温江及崇宁、新繁、新都、金堂、成都、华阳等九县,俱引水溉田,由来久矣。”从灌县(今都江堰市)江安堰分出的新开江,亦称温江,自天生堰分流出乾溪后,以下各堰又分别分流出多条溪河,如乌龙堰分出龙溪;全集堰分出全节溪;李清堰分出云溪;漏沙堰分出桤木江;黄土堰分出马坝江;小天生堰分出屈溪;毛家堰分出曹溪;下天生堰分出浮图溪;哪吧堰分出哪吧溪,等等。清嘉庆《双流县志》载:“双流水源自灌口,下约三十里分派入江安堰,迳温江分入县界,西为金马江,筑四堰;迤东为杨柳江,筑堰十六;东北为新开江,筑堰二十七,共三支分四十七堰。”岷江之外的其他水系,也是通过多处修筑堰堤来分引河水灌溉田地,如䢺水岩堰以下至西禅寺起,分别建有头堰、二堰、三堰、四堰、五堰、六堰;真武堰河以下,又分别建有头牌堰、二牌堰、三牌堰、四牌堰、五牌堰等。清光绪《大邑县乡土志》载:“……综核桤木河分出大小二十二堰,灌邑田五万亩……官渠等五河分出大小三十五堰,灌田四十四万亩。此外,有由邑南甘泉塘水分出九堰,灌田一万余亩。”江河截堰,派分出的水流渐小,下游的小堰俗称为子堰。民国《邛崃县志》载:“……自嵇公以下十四堰,每堰断流,下又出泉作堰,今查泉水堰共有二十八处,皆六堰水母泉其子也。”至清晚民初时期,见于记载的成都及各属县所修筑的大小堰总数已有千余,而其实际数量应是几倍之多。

清同治成都县堤堰图
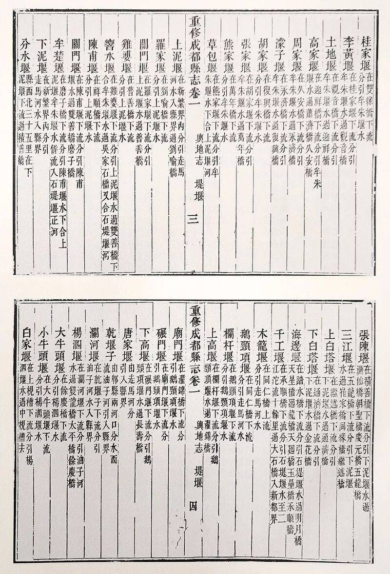
堰,为古代治理江河、导灌农田的重要的水利工程,其数量也是地方经济发展的重要指标,修筑堤堰,当然更是地方莅任官员的主要业绩,历代地方志等官书中都会详列当地堰名,以及与修筑堤堰有关的大小事记。例如清同治《重修成都县志》中就列出了九里堤、石堤堰、天心堰、土地堰、濛子堰、三江堰、千工堰、杨泗堰、昭觉堰、洪门堰、三道堰、二郎堰、杜甫堰、清波堰、都江堰等119处当时的成都县境内的大小河堰。

清嘉庆时期华阳县部分堤堰名录

清同治时期成都县部分堤堰名录
由于堰是通过筑堤来分导水流或排水泄洪的,因此,堰也常被称作“堤”,例如上面提到的九里堤。九里堤原名縻枣堰,为郫江从西北部进入成都城区的防洪工程,传该工程早期由蜀国丞相诸葛亮主持修筑。清嘉庆《成都县志》载:九里堤“在县西北隅,其地洼下,水势易趋,诸葛亮筑堤九里,捍之。”唐代时,西川节度使高骈于该处修堤筑堰,将郫江导流以减少洪水对罗城的威胁。宋《舆地广记》载:“自唐乾符中高骈筑罗城,遂作糜枣堰,转内江水从城北流,又屈而南与外江水合,故子城之南不复成江。”宋乾德四年(967年)夏,堰堤被洪水冲毁,次年即开宝年(968年),时任太守刘熙古对縻枣堰进行了重修。关于刘熙古修建縻枣堰之事,历史记载很多,如宋·何涉《縻枣堰刘公祠堂记》载:“开宝改号之初,……端明殿学士、尚书兵部侍郎刘公熙古帅州,始大修是堰”;宋·杨甲《縻枣堰记》载:縻枣堰“引注灌溉,膏我粱稻,绝其泛滥决溢者,宋端明殿学士刘公熙古之力也。”刘熙古规划整修縻枣堰,益州百姓“享其利而忘其功不可也”,感念其人其事,后人称縻枣堰为刘公堤。继刘熙古之后,宋庆历四年(1044年)知府文彦博 ,宋淳熙二年(1175年)四川制置使兼知府范成大,又先后主持对縻枣堰进行了整修。明代时,因该堰堤长达九里,时人始称其为九里堤。

清乾隆成都府城图(四川大学图书馆 藏)
兴修河堰是为大事,殚谋戮力之人,百姓从来不会忘记,或树碑立传,或以尊姓命其堰名。清乾隆年间金堂知县张南瑛,任职期间不仅倡导崇文重教,而且大力兴修水利,造福乡人。清光绪《金堂县乡土志》中对此有专门的记载:“张南瑛,……振兴文学,创建奎阁,增修书院,培植士类。尤长于水利,堰有壅塞,皆为疏沦,初大河湾有十里地,平畴衍沃无水灌溉,居民仅种菽麦,南瑛为相其地宜,度其高下,遂绕冠紫山南錾渠接绣川河水,名普利堰,开良田数千亩。上乡余水,尽汇于此,源长派远,至今无荒旱不足。又开龙尾枧槽二堰。”双流的大朗堰,其名来源于募资修建该堰的大朗和尚。当地旧志载:“大朗堰,在治西二十五里,水分金马江,袤五十里,溉田六万八千亩。顺治间邑僧大朗募筑,先是沙紫堰水不敷溉,大朗潜募得温江刘家濠杜宋二氏田,开沟导流三里,至县界西凤桥合沙紫江溉双流及新津田,小堰繁出,民间就干流筑大朗头堰、二堰、三堰、四堰。”现新都新繁镇龙藏寺里还保存着清光绪年间刻写的《大朗堰碑记》。民国三年(1914年),大邑贤达刘化堂请于省府,拟自味江开横渠以连通朱崇河,其二子亦尽力而为,乡人也踊跃赴公,堰渠建成后,“所溉之田,岁增谷数十万石”,晚清举人、著名学者林思进特地撰写了《崇庆县朱崇河新开刘公堰碑记》,碑记中写道:刘公堰“自二江上游,截味江越西河以达朱崇堰,凡为渠长一千三十丈,身阔二丈,为桥枧二十有七,筑堤笼石,以遏水护岸,又百余丈。”上世纪三十年代,大邑刘氏族人号召当地乡绅与民众,修建从崇庆桃子坝引水至安仁桤木河的堰渠,堰渠建成后取名为“万成堰”。1942年,当地乡绅出资修建了“万成堰纪念碑”,纪念碑四方分别刻有“辛未夏刘公维三开渠乍堰纪念碑”、“辛未夏刘公升廷开渠乍堰纪念碑”、“辛未夏刘公自乾开渠乍堰纪念碑”、“辛未夏刘公星廷开渠乍堰纪念碑”,碑下方还刻有“万成堰纪念碑序”和赞助堰绅的名录。旧时很多县志里也记载有堰名与倡修者的关系,例如民国《邛崃县志》载:“段公堰,土人谓之新开堰,在县东三十里,乾隆时乡民谢朝有錾山开堰,知州段以信成之此堰。徐公堰,乾隆年间州判徐坦作大堰以拦之,甚长,颇宽,堰口亦大。崔公堰,堰在金鸡沱,为雍正时州牧崔邑俊所筑。张公堰,县南二里,明刘文恂议导,此水由西而南,灌南门外田一千余亩,嘉靖十九年,知州张纪力成之,故名。”清光绪《蒲江县志》载:“黄公堰,县东三十里,乾隆三十三年邑令黄国正开。”

《大朗堰碑记》局部(新都龙藏寺 藏)

大邑安仁万成堰碑
堰的规划设计,需要考虑诸多情况,包括堰堤规格与形态、施工量、排水泄洪能力、受益田地面积,以及资金来源与劳工安排等,通常还需对环境进行评估。由于筑堰引水会影响下游的用水量,开渠乍堰或还需得到官府的许可,即由官方来统筹兼顾。堰有大有小,如温江的天王堰,“堤长六十丈,广二丈”;郫县的万工堰,“长八十余丈,高五六尺,筑腰堰,长五十余丈,高五六尺”。显然,河流的宽窄、分导水量的大小、排洪泄水的能力等,决定了堰堤的长度、高度。

清道光新津十二景之《堰堤春涨》
农田灌溉,通常是通过沟渠将堰水引至田地之中的。民国《崇庆县志校注》载:“股引于江,为堰。股引于堰,为沟。堰有总、分。沟有广、狭。连贯如脉络,纷纭如蛛丝。”沟,也称为渠,可分为干渠、支渠、斗渠、农渠和毛渠。干渠,又称主渠,即引水于堰的大渠;支渠,即从干渠取水以分配给各处的渠;斗渠,即从支渠引水至农渠和毛渠的水道;农渠和毛渠,则为从斗渠引水至田块的小渠、小沟。江河和大小沟渠,与地块一起形成了网格状灌溉体系。河高田低,可直接将河渠中的水引至田中。田高河低,水难上达者,则需借用戽篼(也称戽斗)、筒车、龙骨车(也称翻车)等取水工具将水引至田中。因此,旧时很多沟渠都安设有筒车、龙骨车等取水提灌机械。例如,清同治《成都县志》载:“三里堰,在治东北二十五里,水分新开江,袤二十里,溉田三万二千亩,上源麦草堰,下贯六支堰迳机头桥,迤东南至簇锦桥水北栗园坝,筒车数十架,亦仰溉焉。”民国《大邑县志》载:“自吴堰沱至韩堰沱,共列筒车四十八架。”

都江堰市安龙镇一带的网状堰渠

大邑与邛崃交界处一带的网状堰渠

古代人工提水工具——戽斗

筒车(明·徐光启《农政全书》插图)
修筑堰,不是一劳永逸的。在长时间的水流浸泡和冲击下,特别是在每年夏季的洪水冲击下,堰堤都会受到不同程度的损害。此外,还会出现其他情况引发的堰堤破坏。河中泥沙淤积,也会影响堰堤分水导流效果。因此,管理和修淘堰堤,就显得特别重要。
都江大堰修成后,其管理与修淘诸事,历来受到官方重视。民国《崇庆县志校注》载:“诸葛武侯治蜀,亦以堰为重,调丁护之。明有水利佥事、水利判官,清则设水利同知于灌,以司修濬。”“深淘滩,低作堰”,为都江堰之治水要诀。秦汉以来,政府每年都要组织和征用人夫对都江堰按照古法进行修淘,即冬季枯水季节的“岁修”。宋元及以后,对都江堰的修淘更是形成了严格的制度。《宋史·河渠志》载:“岁作侍郎堰,必以竹绳自北引而南,准水则第四以为高下之度。江道既分,水复湍暴,砂石填委,多成滩碛。岁暮水落,筑堤壅水上流。春正月则役工浚治,谓之穿淘。”都江堰二王庙的墙壁上,至今还保存着清光绪成都知府文焕编写的都江堰修淘口诀——深淘滩,低作堰。六字旨,千秋鉴。挖河沙,堆堤岸。砌鱼嘴,安羊圈。立湃阙,留漏罐。笼编密,石装健。分四六,平潦旱。水画符,铁桩见。岁勤修, 预防患。遵旧制,毋擅变。

都江堰之宝瓶口
宋元祐时,对岷江下游各堰的管理与修淘有了专门的要求,“县各置籍,凡堰高下、阔狭、浅深,以至灌溉顷亩、夫役工料及监临官吏,皆注于籍,岁终计效,赏如格。”史书中还记录了宋代益州富商集印交子(注:我国最早的纸质货币),开启民间金融为公共项目服务的事情。宋·李攸《宋朝事实》载:“益州豪民十余户,连保作交子,每年与岁之夏秋盘仓量人夫,及出修縻枣堰丁夫物料,诸豪以时聚首,同用一色纸印造。印文用屋木人物,铺户押字,各自隐密题号,朱墨间错,以为私记。书填贯不限多少,收入人户现钱,便给交子。”元代,为振兴岷江流域农业,也加强了对河堰的整修。元·揭傒斯《大元勅赐修堰碑》记载有:“诸堰皆甃以山石,范铁以关其中,取桐实之油,刀麻为丝,和石之灰以苴罅漏,御水潦。岸善崩者,密筑江石以护之。”
对堰渠的管理,通常是设置专人,即设置堰长、渠长或沟长,有些堰还会细设为堰总、堰长、堰甲。民国《崇庆县志》载:“文井朱崇堰工之费,则俱由民备。例设堰总一、碾长一、堰长八。每沟各有长,有长夫。长夫照规人出丁夫。三堰总长均由八河推举举定。官堰,……溉田万余亩……堰长二,由九小堰中轮充合作,有六十四堰甲,甲各管田百六十亩。万工堰,……每年濬修工资不一,民闲照田自派,有堰长经理。”在谁用水谁付费或付劳的基本原则下,堰长制度的推行,强化了堰民的自我管理意识,减少了官方督管成本,灌区取水权与水利有关的其他权益的分配能够细化和优化,乡村秩序也会因此得到有效维护。

清嘉庆温江县堰堤图
堰河或堰渠,短则一二里,长则几十里,堰长的职责包括议定上下游各段水流分配、岁修中的材料准备,以及雇夫、派夫和督夫到工等事宜,此外,还要解决用水与劳务中的纠纷和处置筹资余款等事项。享用都江堰水源的各州县,还要支付修费或安排劳工参加都江大堰的岁修。例如,清嘉庆《成都县志》载:“县境内凡溉田堤堰水源,俱分自都江大堰,每年照亩出银修濬。”清嘉庆《金堂县志》载:“县境内,凡溉田堰水源有分自都江大堰者,照亩出银,协济修费历来奉行解报,案牍可稽。”清嘉庆《温江县志》载:“都江大堰,乃成华温郫新双崇等州县用水之源,兵民命脉,国赋根本。每年年前雇夫,自正月初一日,各县典史堰长,督夫到工,兴修至清明。工竣开堰放水,以广灌溉。”

清嘉庆双流县水堰图
类似的,凡共享上游堰水的各家各户,也都要每年派夫参与上游大堰的修淘。具体出银派夫的多少,除按受益农田亩数来确定外,还有按粮产来确定的。民国《崇庆县志》中有记载:“铁溪河分出之堰四道,每年计亩出夫,淘挖淤塞。官渠河分出之堰十七道,按粮派夫,分作三段。每年正月,兴工淘挖淤塞。”当时,铁溪河之堰水,上段为崇庆州用,中段为大邑县用,下段为新津县用,其修淘安排被官衙裁定为:“崇庆得水最近,每年出竹编篓扎堰,大邑淘上游十分之七,新津淘下游十分之三。”编篓扎堰,即沿用古法的篓式筑堰,要求“用慈竹篾,宽三指,长十二丈,空其中,尺有八寸,实石以壅水。”古法旧制,不得有违。清道光《新津县志》载:“堰埂篓笆,宜遵照旧式也,查通济堰横河截埂,埂身之宽,旧定三丈。今现存旧埂,仅宽二丈四五尺不等,本年南河西河缺口,俱用竹篓三丈培修,嗣后倘遇有水涨,冲开缺口之处,应请概以三丈竹篓培修,不得偷工减料,致违旧制。”淘沙,为岁修中的重要内容。淘沙人夫的名额则是根据堰的大小及其沙石淤积程度来设置。例如,民国《崇庆县志》载:“桤木河正流,分上段堰,淘沙夫一名。下段堰,淘沙夫一名。叶家堰,淘沙夫一名。牛屎堰,淘沙夫一名。余家堰,淘沙夫一名。罗家堰,淘沙夫一名。”

清嘉庆新繁县水道图
多用户使用同一堰水,纠纷难免,特别是逢遇天旱水少时。为争夺水源,家户之间、族群之间甚至出现械斗。解决用水矛盾,维护灌区秩序,显得非常重要。日常堰务管理和纠纷处置通常由堰长召集当事人来进行调解,矛盾突出的情况下,则诉告官府听候裁决。一些跨界纠纷,还需两地或多地官员联合调查处理。保留下来的一些旧时碑记,记录了这些纠纷及其断案结果。例如蒲江县三圣祠中的“蒲江县正堂示”碑记中,就记录了清光绪年间知县凤全处置当地用水纠纷的“正堂示”——“示仰金银沟上下水户知悉,务各遵照此次断案照旧放水,以杜衅端,不得故为争兢,至于咎戾切切,此谕毋违,特示。右谕通知。”一些家族内部也通过家法族规的形式,对堰堤修补和堰水使用进行安排和约定。例如龙泉驿宝胜村的刘氏族人,就将合约刻写在石碑上,“一议堰塘、河堰,春开秋闭,封沟作决,培补堰埂,有分人等,帮工出力……一议堰塘、河堰四处,有田之人,人人有分,不得胡说你我有无……”。
筑堰开渠,也给设置相应的利用水能的机械提供了方便。这些水利机械包括水碾、水磨、水碓、水纺车等。例如民国《邛崃县志》中就记载了当地各堰分设水碾的情况,“母猪堰,分沟水碾十一座,磨一;雷家堰,分沟水碾三座;汤家堰,分沟水碾二十;筰箕堰,分沟水碾八座;清皮堰,分沟水碾四座;上三稜堰,分沟水碾五座;中三稜堰,分沟水碾六座;下三稜堰,分沟水碾五座;永济堰,分沟水碾十六;大官堰,分沟水碾十五座……”。清嘉庆《新繁县志》载:新繁县有“水碾榨磨共壹佰捌拾肆座半,内壹座在新繁新都交界处。”清光绪《重修彭县志》载:“谷皮堰,在老罗家场东六里,于马牧河中傍南岸錾泉方丈,深丈余,引水转碾十余坐,灌田数千亩。”元·揭傒斯《大元勅赐修堰碑》记有:“缘渠所置碓硙纺绩之处以千万数,四时流转而无穷”。很明显,堰渠的大量开筑,不仅提升了成都各地粮食种植业的发展水平,也改变了成都各地农村加工业态,极大地促进了成都地区农业和商业的全面发展。

水碾(明·徐光启《农政全书》插图)
筑堰与修淘,其筹款所剩,以及开设作坊经营所得,又可用来购买和置备修材、雇佣劳力,从而形成良好的护养堰堤的机制。例如大邑县《龙头堰碑记》载:“邑西关外,萧芬、黄绳武、梁朝晋、赵文科诸公,可谓正直人矣。盖光绪五年,萧芬、黄绳武,充当菖藤堰堰长,各捐钱五千文,又以做堰所剩十千,集众商议,举梁朝晋、赵文科二人经理此钱。嗣后,堰内买田者,均甘与堰帮钱,及连年做堰、修沟所剩,一并交于二人。生息数年,积有九十余串,买田二十一亩余。年即卖此租谷,做堰。”民国《崇庆县志校注》载:“马堰,流经十余里,溉田三千亩余,分小堰三。清同治七年,大水冲毁沟道,民众醵资善完。以羡钱三百余缗购田七亩,交周碾主者蓄租,备岁修材庸。”
筑有河堰的地方,其地名或聚落名往往用“某某堰”来表示。这些地名中,冠以姓氏的尤其多,其名来自早期居住于此的大户望族,这在前面已经提及。例如,清光绪《崇宁县乡土志》载:“华家堰,在县东三里,是乡旧多华姓,故名。冯家堰,在县东三里,是乡多姓冯,故名。”时异事殊,一些姓氏地名也会发生变化,例如民国《邛崃县志》载:“罗堰,旧志名淡家堰。”姓氏类堰名以外,还有各种各样的其他类堰名。当然,这些堰名也都有着各自不同的来历。例如,民国《邛崃县志》载:“油榨沱有天纲堰,县西五十五里,在袁天纲祠外。”清光绪《崇宁县乡土志》载:“灵宝堰,在县北一里,因近灵宝观侧,故名。平乐堰,在县西十里,因近平乐寺,故名。永宁堰,在县南七里,是处有永宁桥,故名。万工堰,在县北十五里,因工以万计,故名。”清嘉庆《华阳县志》载:龙爪堰,“明嘉靖三十六年,蜀藩王于此筑石堰,截堵清水河水,分三股灌田,形似龙爪,故名。”旧时华阳的千金堰,则是因为其修筑“率用民钱一万三千”而得名。成都各地之大小河堰,多不胜数,名称与来历更是五花八门,这里就不再一一列举。
历经多年的城市改造与建设,成都城区与四郊早已改容易貌,但尚存的一些带有“堰”字的地名,似能让人联想到遥远的过去。红花堰、龙爪堰、七道堰、大观堰、豆腐堰、井坎堰、石灰堰、洗瓦堰、火烧堰、九里堤……,这些古代水利工程的地名遗存,将九江八水、溪河曲绕的成都与物产丰富、岁稔年丰的“天府之国”联系了起来。可以肯定地说,正是古代堰渠体系,带来了成都平原的“田肥美,民殷富”与“蓄积饶多”。
来源:巴蜀文史
作者:徐 平

用户登录
还没有账号?
立即注册